近日,beat365英国官网农业与生物技术学院研究生陈琳玉(第一作者),白婧副教授(通讯作者)在国际知名学术期刊《Environmental Pollution》,属于中科院top期刊(中科院二区,IF 8.9),在线发表了题为“Endocrine system, cell growth and death, and energy metabolism induced by Sb(III) exposure in earthworm (Pheretima guillemi) revealed by transcriptome and metabolome analysis”的研究论文。

我国锑储量和开发量位居全球之首。然而,锑的开采与冶炼过程中,大量锑元素释放至土壤和水体,导致严重污染。蚯蚓作为重金属等污染物的敏感指示生物,广泛应用于生态毒性测试。锑可引发蚯蚓回避反应、生长抑制、肠道组织损伤及氧化应激。然而,蚯蚓对锑污染的解毒机制与适应性机制尚不明确。
团队通过生化指标、病理切片、代谢组学和转录组学分析,探讨了不同浓度Sb(III)对蚯蚓的毒性机制。结果表明,随着暴露浓度的增加,蚯蚓的抗氧化系统、肠道损伤程度及其代谢组学特征均显著增强。

图1 锑暴露对蚯蚓肠道组织切片的影响
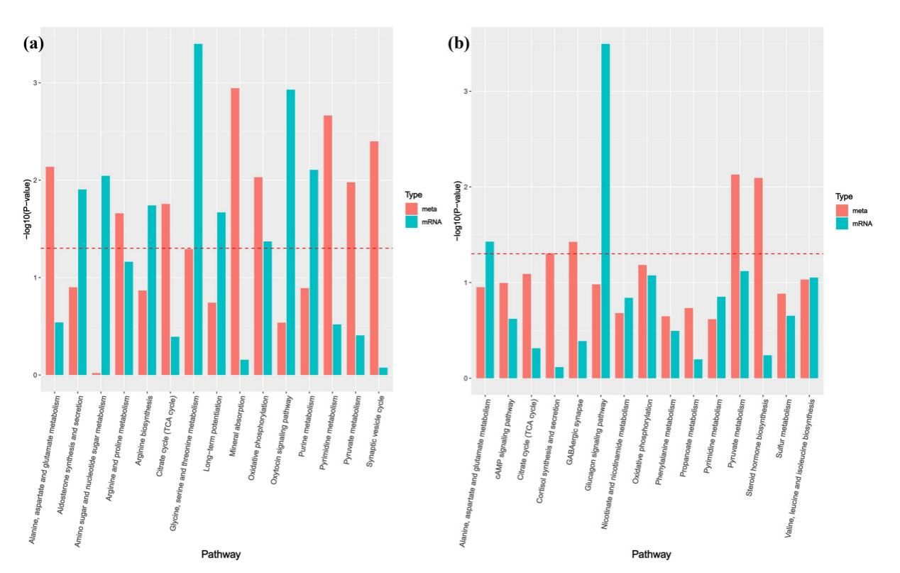
组学分析结果显示,Sb(III)暴露导致蚯蚓体内大量氨基酸如DL-脯氨酸、DL-色氨酸、谷氨酸、甘氨酸等受到干扰。此外,锑影响蚯蚓免疫系统、神经系统、氨基酸代谢、内分泌系统和碳水化合物代谢相关基因的转录模式。胰高血糖素信号通路、坏死和氧化磷酸化是代谢组和转录组中共享的重要富集途径,这也表明蚯蚓的内分泌系统、细胞生长和死亡以及能量代谢受到锑毒性的严重影响,最终导致体重和肠道组织的变化。

图2 锑暴露对蚯蚓的毒性作用示意图
进一步整合代谢组学和转录组学分析发现,高浓度锑暴露影响了生物的氧化磷酸化途径。因此,锑通过改变与ATP合成相关的代谢物和基因,影响蚯蚓生长,这可能是Sb(III)的毒理作用机制之一。本研究揭示了超出常规毒性终点范围的反应,有助于深入、全面评估锑的毒性作用。

图3 不同浓度锑处理下差异基因和代谢物的共同富集通路
本研究在湘中特色农业资源开发利用与质量安全控制湖南省重点实验室进行,得到国家自然科学基金项目(41907037;32371589)、湖南省教育厅科研基金项目(22A0608)、湖南省自然科学基金项目(2024JJ7244;2023JJ50086;2023JJ50475)的支持。(图文:白婧;一审:朱雄梅;二审:刘泽发;三审:向国红)
原文链接:https://doi.org/10.1016/j.envpol.2024.124357